Which Universities Have the Best Student Developers?

With early college admissions underway for many universities around the country, we got to thinking: Which colleges have the best student developers in the world?
While there are academic rankings, like the Top Computer Science Programs by US News & World report, there is no list that ranks colleges purely by their students’ ability to code. The criteria for the US News & World Report, for instance, includes number of research papers produced, global research reputation and number of conferences. In fact, practical coding skills aren’t even part of their methodology.
We decided to answer the question: Which universities have the best student developers who can roll up their sleeves and code?
At HackerRank, millions of developers, including hundreds of thousands of student developers, from around the world regularly solve coding challenges to improve their coding skills. In order to figure out which colleges have the best coders, we hosted a major University Rankings Competition. Over 5,500 student developers from 126 schools from around the world participated in the event. Companies also assess developers’ coding skills using HackerRank to hire great developers.
According to our data, the top three best coders in the world hail from:
- Russian Federation College, ITMO University | Russia
 - Sun Yat-sen Memorial Middle School | China
 - Ho Chi Minh City University of Science | Vietnam
 
The University of California, Berkeley was the #1 college in America, and came in fourth overall.
First, we defined what it means to be the “best” university. We thought it would be fairest to rank universities based on both number of participants and high scores. Our engineering team created a formula* to rank each university. Each university had to have at least 10 participants to place on the leaderboard.
We narrowed the data to the top 50 colleges around the world:

Two Russian universities ranked #1 and #6, respectively in the HackerRank University Competition. Meanwhile, Russian universities aren’t listed among the top 50 universities in the traditional US News & World report list. Similarly, we found that Vietnam’s Ho Chi Minh university has talented coders, but they didn’t rank high in US News & World report either.
This is not to say that the US News & World Report is misguided. Instead, the results of the HackerRank University Competition suggest that such traditional academic rankings aren’t the only source of the best coders in the world.
In fact, one acclaimed high school in China blew many universities out of the water.  San Yat-sun Memorial Middle School (which in the US equates to high school level of education), placed 2nd, above UC Berkeley and IIT. One Chinese blog mentions that the school is actually bigger than most universities in China, and includes a science museum. 
Wentao Weng, who ranked the #13 overall, says he first started learning how to code in what he calls “Junior 1,” which is 11-years-old. Wentao told us that computer science isn’t necessarily a standalone subject in grade school, but it’s well supported: “It’s not one of the subjects; however, we can also try to become one of the best coders among high school students to [get admission] into a good university,” Weng says. “So our teacher supports us in [studying] computer science, and we take some time on it. “And we have done many contests both online or offline [to] learn.”
He practices roughly 4 hours per day during school, but almost the whole day on weekends. His classmates have a similar work ethic. Cai Ziyi started coding at 12 years old. He says that most student programmers join the Olympiad in Informatics (OI) as an after school hobby.
The top US universities with the best student developers
Zeroing in on the top 25 universities in the US, eight schools cracked the top 50 overall. Many of the schools listed in our competition are in line with the US News & World report, except we surfaced a few underdogs. Schools that aren’t normally seen in academic rankings, like Ohio State UC Irvine and North American University, all ranked in the top 50 worldwide in the HackerRank University Competition.
While the traditional academic rankings, like the US News & World report, are one indicator of the quality of education, it’s not the only place to find great coders. Great coders can come from any university in the world. In fact, as the students at San Yat-sun prove you don’t even need a degree to be able to code well.
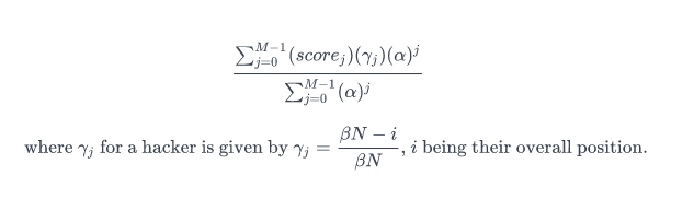
Scoring:
* To calculate the score of a school in leaderboard, we take all participants from a particular school(M) in descending order of the students’ scores and calculate using the formula below. Note: The values for α and β for this leaderboard are 0.8 and 3 respectively.
In order for a school to be listed on the School Leaderboard, the school must have at least 10 students submitting code in University Competition. Students are ranked by score. If two students have the same score, the tie is broken by the time at which the user finishes the first correct submission of the last challenge solved.
